Hotline
News

2,5-dichlorobenzoic acid

2,5-dichlorobenzoic acid structural formula

structural formula

business number 0146
molecular formula c7h4cl2o2
molecular weight 191
label

2,5-dichlorobenzoic acid,

pesticides in chinese (simplified chinese); aliphatic carboxylic acids and their derivatives

numbering system

cas number:50-79-3

mdl number:mfcd00002416

einecs number:200-065-7

rtecs number:dg6825000

brn number:973353

pubchem number:24848693

physical property data

1. properties: white needle-like crystalline powder. partially volatilized in steam.

2. density (g/ml, 25/4℃): undetermined

3. relative vapor density (g/ml, air=1): undetermined

4. melting point (ºc): 154.4°c (lit.)

5. boiling point (ºc, normal pressure): 301 °c (lit.)

6 . boiling point (ºc, 5.2 kpa): not determined

7. refractive index: not determined

8. flash point (ºc): 300-302°c

9. specific rotation (º): undetermined

10. autoignition point or ignition temperature (ºc): undetermined

11. vapor pressure (kpa, 25 ºc ): undetermined

12. saturated vapor pressure (kpa, 60 ºc): undetermined

13. heat of combustion (kj/mol): undetermined

14. critical temperature (ºc): undetermined

15. critical pressure (kpa): undetermined

16. log value of oil-water (octanol/water) partition coefficient: undetermined

17. explosion upper limit (%, v/v): undetermined

18. explosion lower limit (%, v/v): undetermined

19. solubility: soluble in ethanol and ether, soluble in hot water (<0.1 g/100 ml at 19 ºc).

toxicological data

1. acute toxicity: mouse subcutaneous ld50: 1200mg/kg; mouse intraperitoneal ld50: 237mg/kg 2. mutagenicity: mutation testing system – not other specifiedtest systems: bacteria – salmonella typhimurium: 1mg/l

ecological data

none

molecular structure data

none

compute chemical data

1. reference value for hydrophobic parameter calculation (xlogp): none

2. number of hydrogen bond donors: 1

3. number of hydrogen bond acceptors: 2

4. number of rotatable chemical bonds: 1

5. number of tautomers: none

6. topological molecule polar surface area 37.3

7. number of heavy atoms: 11

8. surface charge: 0

9. complexity: 161

10. number of isotope atoms: 0

11. determine the number of atomic stereocenters: 0

12. uncertain number of atomic stereocenters: 0

13. determine the number of chemical bond stereocenters: 0

14. uncertain chemical bond stereocenteramount: 0

15. number of covalent bond units: 1

properties and stability

none

storage method

this product should be sealed and stored in a dry place away from light. storage and transportation according to regulations on toxic chemicals.

synthesis method

1. phosgene method: 2,5-dichlorobenzoyl chloride is obtained by reacting p-dichlorobenzene and phosgene, and then hydrolyzed.

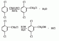
2. the chloromethylation method is obtained by reacting p-dichlorobenzene with paraformaldehyde and then oxidizing it with potassium permanganate. the yield of chloromethylation of p-dichlorobenzene was 53.4%, and the yield of the third step oxidation reaction was 83%

3. the trichlorobenzene method uses 1,2,4-trichlorobenzene as raw material to prepare 2,5-dichlorobenzonitrile and then undergoes alkaline hydrolysis.

4. benzoyl chloride method is obtained by chlorination and hydrolysis of benzoyl chloride. the chlorination temperature of benzoyl chloride is controlled between 35-45°c. the main component of the chloride obtained is 2,5-dichlorobenzoyl chloride (content 65%). then, in the presence of concentrated sulfuric acid, it is chlorinated at 40-45°c. hydrolyzed at 50℃.

5. dichlorobenzene carbon tetrachloride method.

purpose

as an intermediate in organic synthesis. it is used to synthesize the herbicides legumin and dicaoping. this pesticide has less harmful effects and is not affected by rainy weather.

extended-reading:https://www.bdmaee.net/cas-251-964-6/
extended-reading:https://www.bdmaee.net/fascat4201-catalyst-cas-818-08-6-dibutyl-tin-oxide/
extended-reading:https://www.bdmaee.net/polyurethane-catalyst-smp-catalyst-smp-sponge-catalyst-smp/
extended-reading:https://www.bdmaee.net/wp-content/uploads/2022/08/newtop2.jpg
extended-reading:https://www.newtopchem.com/archives/44390
extended-reading:https://www.cyclohexylamine.net/category/product/page/16/
extended-reading:https://www.newtopchem.com/archives/44177
extended-reading:https://www.newtopchem.com/archives/913
extended-reading:https://www.bdmaee.net/monobutyltin-oxide-2/
extended-reading:https://www.cyclohexylamine.net/polyurethane-tertiary-amine-catalyst-catalyst-r-8020/

Tags:
Prev:
Next: